Υπεγράφη νέα Συλλογική Σύμβαση Εργασίας (ΣΣΕ) για τα ταξιδιωτικά και τουριστικά γραφεία. Η υπογραφή της εν λόγω ΣΣΕ έγινε την 23η Σεπτεμβρίου 2025, στην Αθήνα, μεταξύ:
α) του Πανελληνίου Συνδέσμου Εργαζομένων στη Ναυτιλία και Τουρισμό (ΠΑ.Σ.Ε.Ν.Τ.), εκ μέρους της εργατικής πλευράς και
β) της Ομοσπονδίας Ελληνικών Συνδέσμων Γραφείων Ταξιδιών & Τουρισμού (FED HATTA), και
γ) του Συνδέσμου των εν Ελλάδι Τουριστικών και Ταξιδιωτικών Γραφείων (ΗΑΤΤΑ), εκ μέρους της εργοδοτικής πλευράς, η νέα Συλλογική Σύμβαση “για τους όρους αμοιβής και εργασίας του υπαλληλικού προσωπικού των εργαζομένων στα γραφεία ταξιδιών και τουρισμού όλης της χώρας”.
Η νέα ΣΣΕ
Αναλυτικά σύμφωνα με την νέα ΣΣΕ του κλάδου προβλέπονται μεταξύ άλλων τα εξής:
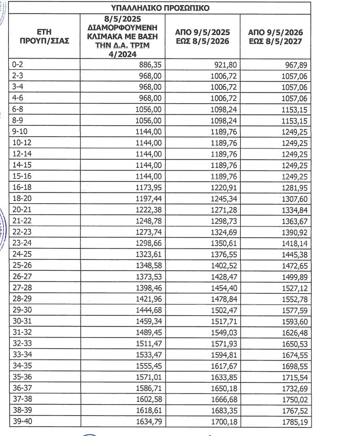
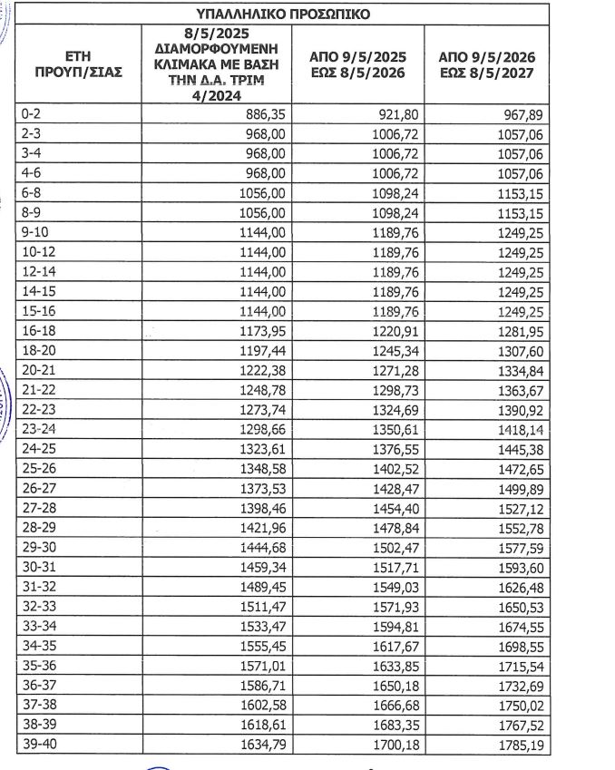
1.Οι βασικοί μισθοί
Από την έναρξη ισχύος αυτής της Σ.Σ.Ε. τα κατώτερα όρια των βασικών μηνιαίων μισθών του προσωπικού του “Άρθρου 1 καθορίζονται ως εξής:


ζ) Σε περίπτωση μετάταξης του βοηθητικού προσωπικού σε υπαλληλικό, ο χρόνος υπηρεσίας ως υπαλλήλου υπολογίζεται από την ημέρα ανάληψης της υπαλληλικής υπηρεσίας. Κατ’ εξαίρεση ο εργοδότης στον οποίο έγινε η μετάταξη, υποχρεούται να προσμετρήσει την προϋπηρεσία στην κατηγορία του βοηθητικού προσωπικού, που διήνυσε ο μεταταγείς σε αυτόν, για τον προσδιορισμό της μισθοδοσίας του.
2.Tα επιδόματα
ΕΠΙΔΟΜΑ ΓΑΜΟΥ
Στους έγγαμους εργαζομένους της παρούσης ανεξαρτήτως φύλου και ανεξάρτητα αν εργάζονται στον ίδιο εργοδότη, χορηγείται επίδομα γάμου 10% επί του βασικού μισθού του αντίστοιχου μισθολογικού κλιμακίου. Επίσης το επίδομα γάμου χορηγείται και στους χήρους/ες, διαζευγμένους/ες καθώς και στους άγαμους γονείς (Ν.1489/1989 άρθ.20 παρ. 2).
ΕΠΙΔΟΜΑ ΤΕΚΝΩΝ
Στους άνδρες και γυναίκες μισθωτούς χορηγείται επίδομα τέκνων σε ποσοστό 6% για κάθε τέκνο, που υπολογίζεται στο βασικό μισθό του αντίστοιχου μισθολογικού κλιμακίου τους. Το εν λόγω επίδομα χορηγείται και στους χήρους/ες, διαζευγμένους/ες καθώς και στους άγαμους γονείς. Το επίδομα αυτό χορηγείται μέχρι τη συμπλήρωση του 18ου έτους της ηλικίας τους, εκτός εάν σπουδάζουν σε μεταλυκειακές σχολές και προσκομίζονται ανάλογα πιστοποιητικά, οπότε παρατείνεται η χορήγησή του μέχρι το τέλος των σπουδών τους.
ΕΠΙΣΤΗΜΟΝΙΚΟ ΕΠΙΔΟΜΑ
α) Στους πτυχιούχους οποιασδήποτε Ανώτατης Σχολής ή άλλης ισότιμης του εσωτερικού ή εξωτερικού, αναγνωρισμένης από το κράτος, δίνεται επιστημονικό επίδομα σε ποσοστό 18%.
β) Στους πτυχιούχους οποιασδήποτε Ανωτέρας σχολής (ΤΕΙ) ή άλλης ισότιμης του εσωτερικού ή εξωτερικού, αναγνωρισμένης από το κράτος, δίδεται επίδομα σε ποσοστό 18%.
γ) Στους αποφοίτους σχολών ΣΤΕ, ΙΕΚ δίδεται επίδομα σε ποσοστό 5%.
ΕΠΙΔΟΜΑ ΠΟΛΥΕΤΟΥΣ ΥΠΗΡΕΣΙΑΣ
Χορηγείται στους μισθωτούς της παρούσας επίδομα πολυετούς υπηρεσίας σε ποσοστό 5% επί βασικού μισθού του αντίστοιχου μισθολογικού κλιμακίου για κάθε τριετία πραγματικής υπηρεσίας ή και προϋπηρεσίας των εργαζομένων στις επιχειρήσεις του κλάδου που καλύπτονται από την παρούσα και μέχρι συμπληρώσεως έξι (6) τριετιών.
Διαβάστε ολόκληρη την ΣΣΕ εδώ
